Folgende Mannschaften treten in der Winterhallenrunde 25/26 an:
TC Beaumarais – Lisdorf:
Mannschaft
Klasse
Mannschaftsführer
Herren 30 1
Verbandsliga 1
Lars Silbersack (0177 7319704)
Herren 30 2
Landesliga 2
Max Laudwein
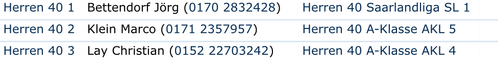
Herren 40 1
Verbandsliga 1
Jörg Bettendorf (0170 2832428)
Junioren U15 1
Gruppe 1
Felix Krebs (0157 58922131)
Juniorinnen U15 1
Gruppe 2
Tjalda Friedrich (0174 7755117
Diese Website verwendet Cookies. Einzelheiten über die von uns eingesetzten Cookies findest du in unseren Datenschutzbestimmungen. Wenn du die Website weiter nutzt, gehen wir von deinem Einverständnis aus.